Sistemas de ecuaciones logarítmicas y exponenciales (2)
Mientras intento pasar estos ejemplos a formato electrónico, aquí os dejo temporalmente la resolución hecha de mi puño y letra.
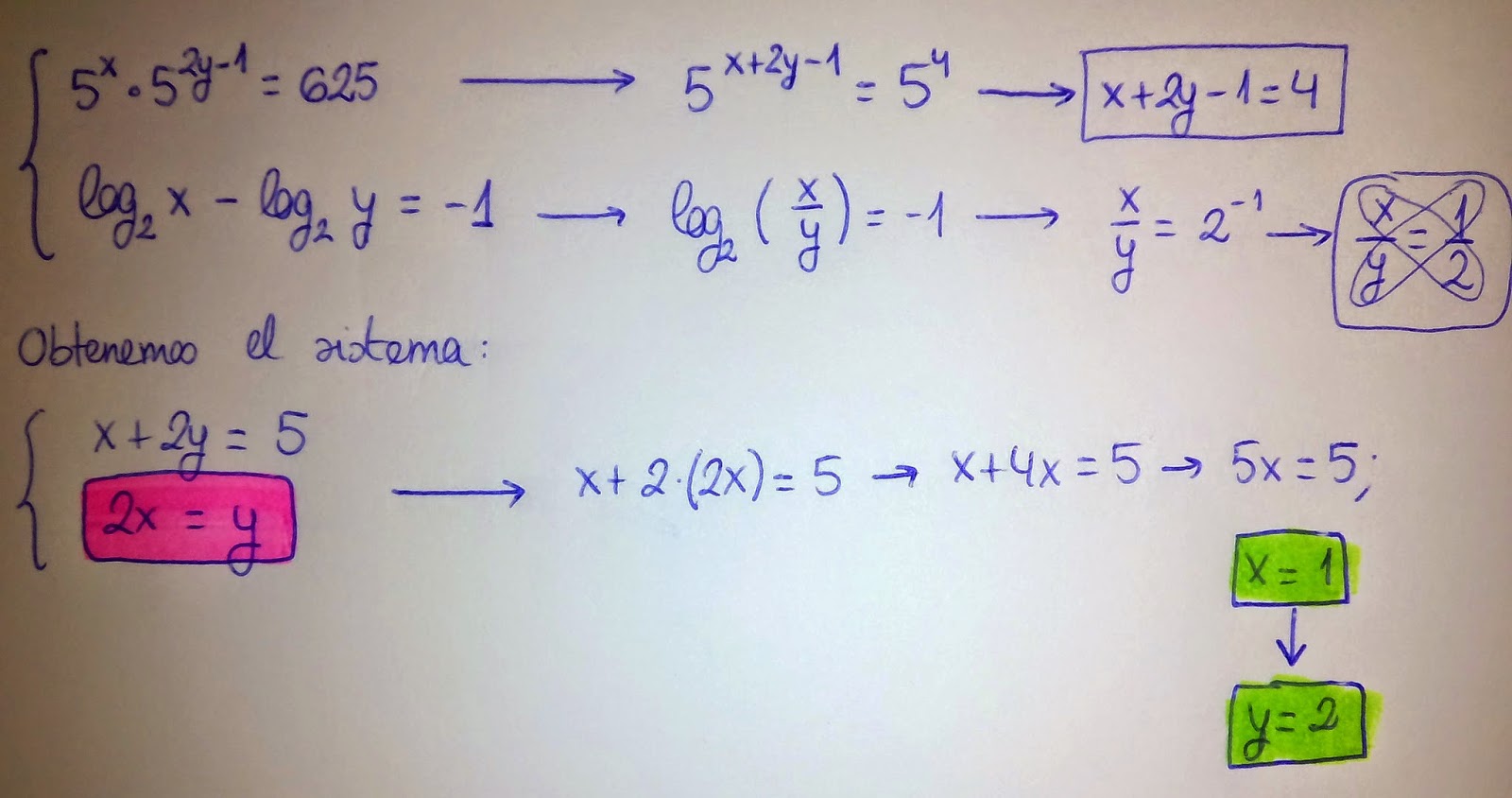
Ejemplo # 1
Ejemplo #2
No hay comentarios:
Publicar un comentario
Todos los comentarios de este blog pasan por el filtro de un moderador. Cualquier comentario inadecuado, no relevante o que pueda resultar ofensivo será eliminado.
No hay comentarios:
Publicar un comentario
Todos los comentarios de este blog pasan por el filtro de un moderador. Cualquier comentario inadecuado, no relevante o que pueda resultar ofensivo será eliminado.